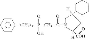
福辛普利拉
C23H34NO5P=435.50 CAS-95399-71-6 反式-4-环己基-1-[[羟(4-苯丁基)次膦酰]乙酰]-L脯氨酸。 trans-4-Cyclohexyl-1-[[hydroxy(4-phenylbutyl)phosphinyl]acetyl]-L-proline. (4S)-4-环己基-1-[[羟(4-苯丁基)次膦酰]乙酰]-L脯氨酸。 (4S)-4-Cyclohexyl-1-[[hydroxy(4-phenylbutyl)phosphinyl]acetyl]-L-proline. 抗高血压药。 Fosinoprilat,SQ 27,519. INN,USAN. 
|