福辛普利钠
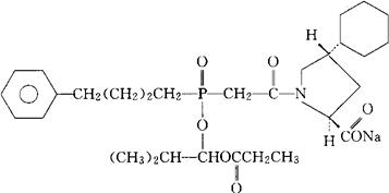
C30H45NNaO7P=585.65 CAS-88889-14-9 CAS-97825-24-6(fosinopril) 反式-4-环己基-1-[[[(2-甲基-1-(1-氧代丙氧)丙氧基](4-苯丁基)次膦酰]乙酰]-L-脯氨酸,钠盐。 trans-4-Cyclohexyl-1-[[[2-methyl-1-(1-oxopropoxy)propoxy](4-phenylbutyl)phosphinyl]acetyl]-L-proline,sodium salt. (4S)-4-环己基-1-[[(R)-[(S)-1-羟-2-甲基丙氧](4-苯丁基)次膦酰]乙酰]-L-脯氨酸丙酸(酯)钠盐。 (4S)-4-Cyclohexyl-1-[[(R)-[(S)-1-hydroxy-2-methylpropoxy](4-phenylbutyl)phosphinyl]acetyl]-L-proline propionate(ester),sodium salt. 抗高血压药,酶抑制药。 Fosinopril Sodium,SQ 28555,Monopril. INN,BAN,USAN. 
|