离心泵的安装高度计算
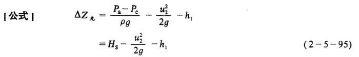
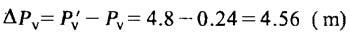
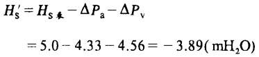
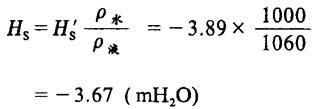
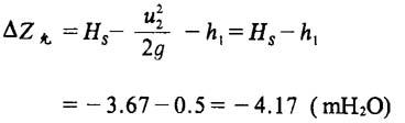
[说明]防止汽蚀现象发生的离心泵的最大吸上高度称为允许安装高度。  式中 △Z允——最大允许吸上高度(m) u2——液体流速(m/s) h1——吸入管内的压头损失(m) 其它同前 [注意]为了保证泵的安全运转不致发生汽蚀,泵的安装高度要比计算的△Z允值再低0.5~1m,即  [例]某封闭容器内贮有容重为1060kg/m3的某种溶液,溶液的饱和蒸汽压为0.48(kgf/cm2),贮槽溶液上方的绝对压强为0.6(kgf/cm2),要用一水泵从容器中抽出此溶液,所选泵的允许吸上真空高度为5.0m,若吸入管路内的压头损失为0.5m,求实际的吸上高度。 解:从泵的性能表上所查到的允许吸上真空高度为5m,是在下列规定条件下进行操作的:Pa=10.33mH2O,PV=0.24mH2O;而现在的操作条件是Pa′=0.6kgf/cm2=6mH2O, =0.48kgfcm2=4.8mH2O。操作条件不同,吸上真空高度要进行校正。根据校正原则[见前面“(二)”中所述内容]: 作用于液面上的压力减少的量为:  饱和蒸汽压增大的量为:  由此,可求出在操作条件下的允许吸上真空高度为:  高度的校正:  若忽略 ,h1=0.5mH2O,则:  为安全运转,将泵吸入口再降低0.5m,所以,实际安装高度为: △Z实=-4.17-0.5=-4.67(m) 即在本操作条件下,离心泵的入口应安装在贮槽液面以下4.67m处的位置。 |