移动平均
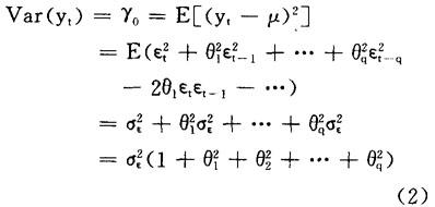
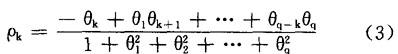
在q阶移动平均过程中,每个观察值是由随机干扰项及其滞后到q期的加权平均而产生,我们记这种过程为MA(q)。 其方程如下: yt=μ+εt-θ1εt-1-θ2εt-2-…-θqεt-q (1) 其中参数θ1,…,θq可以是正数也可以是负数。 过程yt的平稳性要求特征方程 θ(B)=1-θ1B-θ2B2-…-θqBq=0的根必须都落在单位圆之外。 在移动平均模型中,假定随机扰动项是独立同分布,即由白噪声生成。特别地,假定每个扰动项εt是均值为0,方差为#的正态随机变量,且协方差γk=cov(εt,εt-k)=0,对任意k≠0成立。 白噪声过程的加权和却可提供非白噪声过程的很好表达。这样,过程MA(q)可由刚好q+2个参数描绘:均值μ,扰动项方差#和确定移动平均权数的参数θ1,…,θq。 q阶移动平均过程的方差,  q阶移动平均过程仅有q期的记忆力,它的非零自相关系数有q个,记作ρk(k=1,…,q),由下式给出:  所以,样本自相关函数可用于确定移动平均过程的阶数(假定所关心的时间序列是由移动平均过程产生)。MA(q)的自相关函数ρk有q个非零数,当k>q时ρk为0。 |