网站首页  词典首页

请输入您要查询的字词:

 

字词 稳态流动能量守恒方程
类别 中英文字词句释义及详细解析
释义 稳态流动能量守恒方程

单通道中任意两过流截面间的稳态流动,可写出如下能量守恒方程

Ew=△Ep+△Eb+△Ec+△Es+△Ei+Eh (4.1-1)

式中 Ew——单位质量流体输出的作功能;

△Ep——所考察的两截面间的压力能差;

△Ek——所考察的两截面间的动能差;

△Ec——所考察的两截面间的压缩能差;

△Es——所考察的两截面间的位能差;

△Ei——所考察的两截面间的内能差;

Eh——对外热传导、辐射、对流等热能耗损。

压力能是液压技术中最主要的能量形式,液动机是将压力能还原为机械能对外作功的执行元件。

在液压传动管路中,单位质量流体介质的压力能表达式为

式中 ρ——液体密度(kg/m3);

p——压力(Pa);

q——体积流量(m3/s)。

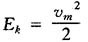
而单位质量液体所具有的动能为

式中vm为平均流速(m/s)。

压缩能是因液体的可压缩性而消耗的能量。这部分能量贮存在被压缩容积的内部,一旦压力下降,压缩容积就会膨胀,从而释放出压缩能。工程上认为:容积V随著压力升高按线性规律逐步被压缩,故其压缩能为

式中E为介质的体积弹性模量(Pa)。

液压系统中的位能相对于压力能而言,占的比重很小,因此可忽略不计。

式(4.1-1)的内能△Ei仅指能耗导致的介质温升的热能部分。液压系统内的无功能耗,都将转化为热能,使介质温度升高。而且具有不可逆的特点,即热能只会通过传导、对流、幅射的形式散失,而不能复原为压力能,故减少热能转化是节能技术研究的重要内容。若已知介质比热为Cf(J/(kg℃)),则单位质量介质的内能就等于比热与温升△t之积

Ei=Cf△t

热能散失耗损项Eh是难以估算的,但是若系统温升限定在处于热平衡状态下研究,则所讨论的两截面间的短时热能散失差别就很小,可以忽略不计。

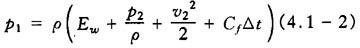
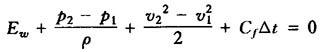
综上所述,把以上不容忽视的各项能量表达式代入能量守恒方程,得到

如果所研究的两截面间流速差很大,则可忽略v1,使能量守恒方程变为更适用的形式

这就是描述液压系统的最一般的能量平衡表达式。它说明压力能只有一部分用于对外作功,部分则向动能和内能转化。动能具有可逆性质,在系统内部特定条件下,又可转化为压力能。但热能则是一种不可回收的能量耗损。节能技术的目的就是要使能量得到充分利用,使热能耗损尽量减少。

当有压液体完全经液阻无功泄漏掉时,压力能全部转化为热能。若不考虑热传导等因素导致的热能损失,由Ew≈0,Ek≈0,得

当矿物油的比热为2093J/kg℃(即0.5Cal/g℃)时,对于密度为900kg/m3的介质,温升1℃相当的压差为

△p=900×2093×1=1.88MPa

以上计算说明大约2MPa的压降损失将导致温升1℃。因此可以通过介质温升来估计能耗程度。由于压力能和热能间的转换是不可逆的,温升值就表示能耗损失,它可用下式近似估算

△p的单位为MPa。

随便看

 

文网收录3541549条中英文词条,其功能与新华字典、现代汉语词典、牛津高阶英汉词典等各类中英文词典类似,基本涵盖了全部常用中英文字词句的读音、释义及用法,是语言学习和写作的有利工具。

 

Copyright © 2004-2024 Ctoth.com All Rights Reserved
京ICP备2021023879号 更新时间:2025/10/18 18:02:48