网站首页  词典首页

请输入您要查询的字词:

 

字词 窃衣
类别 中英文字词句释义及详细解析
释义 窃衣

【概况】:

异名 华南鹤虱(《全国中草药汇编》)。

基源 为伞形科窃衣属植物小窃衣的果实。窃衣属全世界约20种,中国有2种,皆入药。

原植物 小窃衣Torilis japonica(Houtt.)DC.

形态 一年生或多年生草本,高20~120cm。

茎直立,有条纹及刺毛。

叶柄长2~7cm,下部有狭膜质的叶鞘;叶片轮廓为宽卵形,一~二回羽状分裂,两面疏生紧贴的粗毛,末回裂片披针形以至长圆形,边缘有条裂状的粗齿、缺刻或分裂。复伞形花序顶生或腋生,花序梗长3~25cm,有倒生的刺毛;总苞片3~6,长0.5~2cm,通常线形;伞辐4~12,长1~3cm,开展,有向上的刺毛;小总苞片5~8,线形或钻形,长1.5~7mm,宽0.5~1.5mm;小伞形花序有花4~12,花柄长1~4mm,短于小总苞片;萼齿细小,三角形或三角状披针形;花瓣白色或略带蓝紫色,倒卵圆形,顶端内折,长与宽均为0.8~1.2mm,外面中间至基部有紧贴的粗毛。

果实长圆状卵形,长1.5~4mm,宽1.5~2.5mm,通常有内弯或呈钩状的皮刺;皮刺基部阔展,粗糙。每棱槽中有油管1。种子胚乳腹面凹陷。花果期6~10月。(图见《中国植物志》.第55卷.第1分册.84页.图版37)

生境与分布 生于150~3100m的杂木林下、林缘、路旁、河沟边以及滨边草丛中。除黑龙江、内蒙古、新疆以外,中国各地均有分布。

欧洲、北非及亚洲的温带地区也有分布。。

【化学】:

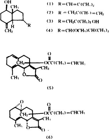
果实中含有葎草烯(Humulene)、(-)-GermacreneD和(-)-Germacra-4(15),5(E),10(14)-三烯-1β-醇[1]及Oppositanes(1~4)[2]、窃衣内酯(Torilolide)(5)和氧窃衣内酯(Oxytorilolide)(6)[3]

参考文献 [1] Chem Pharm Bull 1983;31(5)∶1743 [2] Chem Lett 1983;(8)∶1253 [3] Chem Pharm Bull 1986;34(11)∶4682

【药性】:

性味 苦、辛,微温。

有小毒。

功效 收敛杀虫,活血散肿。

主治 痈疮溃疡久不收口,蛔虫病,阴道滴虫症,跌打伤肿,慢性腹泻。

用法用量 内服:煎汤,3~10g;或作丸剂、散剂。

外用:研粉干掺或水煎洗。

【临床应用】:

单方应用 《全国中草药汇编》:“治痈疮溃烂,久不收口;阴道滴虫:窃衣果实适量,水煎冲洗。”

随便看

 

文网收录3541549条中英文词条,其功能与新华字典、现代汉语词典、牛津高阶英汉词典等各类中英文词典类似,基本涵盖了全部常用中英文字词句的读音、释义及用法,是语言学习和写作的有利工具。

 

Copyright © 2004-2024 Ctoth.com All Rights Reserved
京ICP备2021023879号 更新时间:2025/10/17 12:18:34