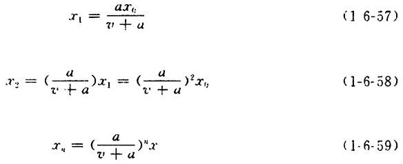
第n次洗涤后浆中废液含残碱浓度的计算及实例
【公式】  式中 v——每次洗涤用水量(m3) a——每次洗涤滤干后残留在浆中的残液量(3) x0——浆料中废液最初所含残碱浓度(当量浓度N0) x1——第一次洗涤后浆料中废液所含残碱浓度(当量浓度N1) x2——第二次洗涤后浆中废液所含残碱浓度(当量浓度N2) xn——第n次洗涤后浆中废液含残碱浓度(当量浓度 ) 【例】 某厂洗浆总用水量100m3,分四次洗涤,每次25m3。如分二次洗涤,每次50m°,其洗涤效率为多少?(设残留在浆中的液量为1m3,浆中废液最初残碱含量为0.01N) 解:因为分四次洗涤,所以,  若分两次洗涤,则:  从计算看出,洗涤水量相同时,分四次洗的比分两次洗的残碱含量可降低到原来的 。 |