网站首页  词典首页

请输入您要查询的字词:

 

字词 等轴双曲线
类别 中英文字词句释义及详细解析
释义 等轴双曲线

实轴和虚轴相等的双曲线叫做等轴双曲线.

例1 设双曲线与椭圆有共同焦点,且与此椭圆一个交点的纵坐标为4,求这个双曲线的方程.

策略 先求出椭圆的焦点坐标,即双曲线的焦点坐标,再定双曲线标准方程的形式,利用条件求待定系数a,b.

解 由已知得双曲线两焦点分别为F1(0,—3),F2(0,3).

设双曲线的方程为(a>0,b>0),

∵双曲线与椭圆有一交点纵坐标为4,

∴它们交点为

∵||AF1|—|AF2||=2a,

∴将A、F1、F2的坐标代入得a=2,

又∵c=3,

∴b2=c2—a2=5.

故所求双曲线的方程为

例2 已知双曲线关于两坐标轴对称,且与圆x2+y2=10相交于点P(3,—1),若此圆过点P的切线与双曲线的一条渐近线平行,求此双曲线的方程.

解 切点为P(3,—1)的圆x2+y2=10的切线的方程是3x—y=10.

∵双曲线的一条渐近线与此直线平行,且双曲线关于两坐标轴对称,

∴两渐近线的方程为3x±y=0.

设所求双曲线的方程为9x2—y2=λ.

∵点P(3,—1)在所求的双曲线上,

∴λ=9×32—(—1)2=80.

∴所求双曲线的方程为9x2—y2=80,即

例3 已知A、B、C是我方三个炮兵阵地,A在B的正东,相距6km,C在B的北偏西30°,相距4km,P为敌炮阵地,某时刻A处发现敌炮阵地的某种信号,由于B、C两地比A距P地远,因此4s后,B、C才同时发现这一信号(该信号的传播速度为1km/s),A若炮击P地,求炮击的方位角.

解 如图所示,以BA所在直线为x轴,过点B垂直于直线BA的直线为y轴建立直角坐标系,单位长度为千米,则点B、A、C的坐标分别为(0,0),(6,0),(—2,).

∵|PB|=|PC|,

∴点P必在线段BC的垂直平分线上.

,BC中点

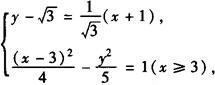
∴直线PD的方程为(x+1). ❶ 

又∵|PB|—|PA|=4,

∴点P必在以点A、B为焦点的双曲线的右支上,设P点坐标为(x,y),双曲线方程为:

联立式❶ 、❷ 解方程组

∴炮击的方位角为东偏北60°.

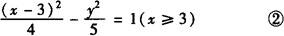
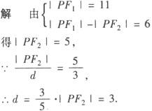
例4 双曲线右支上有一点P,P到左焦点的距离为11,求点P到右准线的距离.

策略 将双曲线的第一定义与第二定义综合运用

故点P到右准线的距离为3.

随便看

 

文网收录3541549条中英文词条,其功能与新华字典、现代汉语词典、牛津高阶英汉词典等各类中英文词典类似,基本涵盖了全部常用中英文字词句的读音、释义及用法,是语言学习和写作的有利工具。

 

Copyright © 2004-2024 Ctoth.com All Rights Reserved
京ICP备2021023879号 更新时间:2026/1/17 12:32:39