简便计算
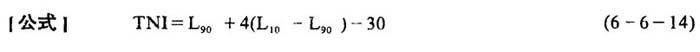
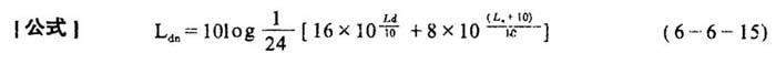
[说明]在实际应用中,上式较麻烦,可用下式简便计算。  式中 L1——某间隔时间t随机读出的声级(dB) n——时间T内读取的L1声级的总个数 1.对环境噪声的等效声级计算 [说明]每5s钟读一个读数,根据ISD建议n取100个数  2.交通噪声的等效声级计算 [说明]取n=200  ❶ 交通噪声级可直接用L10、L50、L90来描述,目前倾向于用噪声污染级LNP来描述。 [公式] LNp=Leq+2.59σ (6-6-11) 式中 σ——标准差 ❷ 在车流量多于100辆/h,测量时间大于15min钟时,其噪声级的分布基本符合正态分布。   ❸ 对机动车辆噪声的评价标准计算方法通常用噪声污染指数TNI表示。  3.昼夜等效声级的计算 [说明]同样的噪声,晚上比白天更感到吵闹,也就是说,同样的噪声在晚上干扰更大。为了在评价时把这些因素考虑进去,美国环保局提出了昼夜等效声级Ldn的概念,即在考虑一天24h的等效声级时,晚上的噪声要加10分贝(A)。  式中 Ld——白天(6∶00~22∶00)的等效声级 Ln——夜间(22∶00~6∶00)的等效声级 Ldn——昼夜等效声级 |