网站首页  词典首页

请输入您要查询的字词:

 

字词 简单分式不等式的解法
类别 中英文字词句释义及详细解析
释义 简单分式不等式的解法

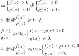
1.形如>0型

2.形如

例1 解下列不等式

分析 (1)、(2)、(3)中可把1/2x—7,3—5x,3x—1看作一个整体.(4)由x—1=0,x+2=0可得x=1,x=—2,1和—2把数轴分成三段,每一段上决定了x—1和x+2的正负,由绝对值的定义去掉绝对值号即可.

解 (1)|1/2x—7|≤1等价于—1≤1/2x—7≤1,

解得12≤x≤16.

..原不等式的解集为{x}12≤x≤16}.

(2)原不等式等价于3—5x<—2或3—5x>2,

解得x>1或x<1/5.

∴原不等式的解集为{x|x<1/5或x>1}.

(3)从形式上看与(1)、(2)有所不同,为使运算简便,令u=3x—1,则2<|u|≤4,此式等价于|u|≤4且|u|>2即—4≤u≤4且u<—2或u>2,解得—1≤x≤5/3且x<—1/3或x>1,如下图所示:

∴原不等式解集为

(4)原不等式等价于

解❶ 得x<—5/2;解❷ 得;解❸ 得x>3/2.

∴原不等式解集为{x|x<—5/2或x>3/2}.

例2 解下列不等式

(1)4x2—4x>15;

(2)4x≤1+4x2

(3)—x2+x—1>0;

(4)02+x—2≤4.

解 对于(1)、(2)、(3)可直接利用二次不等式,二次函数关系求解.(4)可转化为不等式组求解.

(1)原不等式可化为4x2—4x—15>0

∵a=4>0,又方程4x2—4x—15=0的解是:

∴原不等式的解集是

(2)原不等式可化为4x2—4x+1≥0.

∵a=4>0,又方程有两等根x1=x2=1/2,

∴原不等式的解集为R.

(3)原不等式可化为x2—x+1<0.

∵a=1>0又△=1—4=—3<0,

∴原不等式的解集是

(4)原不等式可能转化为不等式组.

解❶ 得x>1或x<—2

解❷ 得—3≤x≤2.

∴原不等式的解集为

{x|—3≤x<—2或1

例3 解关于x的不等式|3x—2|<2m1(m∈R).

解 这里没有2m—1>0的条件,必须分类讨论:

(1)当2m—1≤0即m≤1/2时,原不等式恒不成立,

(2)当2m—1>0即m>1/2时,原不等式可化为—(2m—1)<3x—2<2m—1,解得

综上所述,当m≤1/2时,原不等式的解集为

当m>1/2时,原不等式的解集为:

随便看

 

文网收录3541549条中英文词条,其功能与新华字典、现代汉语词典、牛津高阶英汉词典等各类中英文词典类似,基本涵盖了全部常用中英文字词句的读音、释义及用法,是语言学习和写作的有利工具。

 

Copyright © 2004-2024 Ctoth.com All Rights Reserved
京ICP备2021023879号 更新时间:2025/10/18 13:47:37