网站首页  词典首页

请输入您要查询的字词:

 

字词 简单算术平均数
类别 中英文字词句释义及详细解析
释义 简单算术平均数

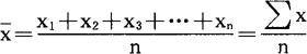
当直接掌握了总体单位数和总体各单位的标志值时,可以把各单位标志值简单相加,然后除以总体单位数,这样计算出的平均数称简单算术平均数。其公式为:

式中:表示平均数,x表示各个标志值,n表示标志值的个数,∑为求和符号

随便看

 

文网收录3541549条中英文词条,其功能与新华字典、现代汉语词典、牛津高阶英汉词典等各类中英文词典类似,基本涵盖了全部常用中英文字词句的读音、释义及用法,是语言学习和写作的有利工具。

 

Copyright © 2004-2024 Ctoth.com All Rights Reserved
京ICP备2021023879号 更新时间:2026/5/12 21:40:55