简单综合指数法
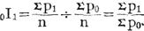
计算期和基期各种事物数值分别加总后对比,以表明事物总的相对变动的一种方法。 以物价指数为例,其公式为:  式中:0I1代表计算期的价格指数,p0代表基期各种商品的价格,p1代表计算期各同种商品的价格。 上式可改为:  商品的计量单位可以用大的单位如吨,也可以用小的单位如磅,其单价实际上是不能相加的。即使各种商品的计量单位相同,但由于各种商品的单价不同,总值的构成就不同,不能反映其实际情况。美国邓·布拉德斯屈里特公司(Dun and Bradstreet,Inc.)从1916年起曾用此法编制一种食品批发价格指数,包括31种食品的每磅批发价格。 虽然各种食品价格用了一致的计量单位,但仍未能克服这个方法的缺点。 |