简单调和平均数
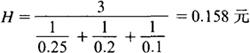
在各变量值对平均数起同等作用的条件下采用。 计算公式为:  式中: H代表调和平均数; x代表各标志值(变量值); n代表变量值的项数; ∑是总和符号。 例如,市场上某种蔬菜每斤价格,早市为0.25元,午市为0.20元,晚市为0.10元,如果早、中、晚各买1元钱的菜,要求计算该种菜平均每斤的价格。在这种情况下,不能用简单算术平均数法,而应该用简单调和平均数法计算。 早上用1元钱买菜 中午用1元钱买菜 晚上用1元钱买菜 平均每元钱买菜 平均每斤菜的价格为 将计算过程联系起来,平均价格的计算为: 
|