简单非直线相关
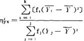
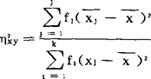
也称“简单曲线相关”。 指不以直线为准反映两变量间依存程度的相关关系。它与直线相关有所不同。只能反映两变量间的相关程度,而不能反映两变量间的相关方向;而直线相关既反映两变量间的相关程度,又反映两变量间的相关方向。反映两变量间相关程度用简单非直线相关系数,通常有相关指数和相关比两种。 ❶ 相关指数。是指两变量间以某一回归曲线为准,某一变量对另一变量相关程度的系数。如为y对x的回归曲线,则可计算出y对x的相关系数。其公式如下:  式中:Pyx为Y对X的相关指数,Syx为Y对X的估计标准误差,Sy为Y的标准差。 如为x对y的回归曲线,则可计算出x对y的相关指数,其公式如下:  ❷ 相关比。是指两变量间某一变量对另一变量以非直线为准的相关程度的系数。它的计算方法可以y对x的相关比为例。假设x、y两相关变量有N对资料,并编好了相关表,则每一纵行对应于每一固定x变量的平均(x)数值下,y的平均数为: Y1i=1,2,3,……k 各纵行的次数,即对应于每一固定x数值下的总次数为: f1 i=1,2,3,……k 则得y对x相关比的计算公式如下:  式中:η为y对x的相关比;#为Y的平均数;fj为对应于Y各组的次数。 同样可得x对y相关比计算公式: 
|