算术平均数
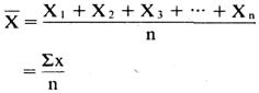
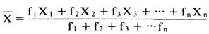
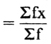
简称“均数”,是总体标志总量与总体单位总数之比。 计算方法有两种:(1)直接法。即对所有观察值x1、x2、x3…xn直接求和,而后除以观察值的个数n。公式为:  式中∑为求和符号。直接法计算的算术平均数,一般称为简单算术平均数。(2)加权法。即将相同观察值的个数(频数)f,乘以该观察值X并求和(∑fx),然后除以频数总和∑f,其公式为:   式中:x1、x2、…xn代表各项观察值。 如为组距数列,则以组中值代表。f1、f2、…fn分别为各组频数,它起著“权数”之作用,权衡各组观察值对算术平均数的影响。 频数多少、权数大小与其影响作用成正比。加权法计算的算术平均数,称为加权算术平均数。 两种计算方法的选择,根据掌握资料情况而定。算术平均数有两个重要特性。 其一,各离差的总和等于零,即 ;其二,离均差的平方和,小于各观察值X与任意数 之差的平方和,即 。两个特性的意义表明,算术平均数是一组观察值最理想的代表值。 |