算术平均数()
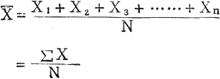
是集中性特征数的一种表示指标,反映一批数据所围绕的中心,简称平均数或均数。 它是表示变数的平均状态或集中位置的特征数(或统计常数)。因为各种变数具有可变的性质,为了描述这种变化的特点以及便于各种变数之间进行比较,常需计算其平均数,平均数的计算公式如下:  式中 为某种变数的平均数即我们要求的算术平均值,X1、X2……Xn为变数中抽样取得的n个个体的数据,∑为总和,N为数据的总个数,∑X为X1+X2+X3+……+Xn。 所以,我们也可以说算术平均值(或称数)为一系列n次观察值X1,X2,X3……Xn的总和除以次数n。 其公式可更明确地表示为:  而在频数表中,由K组组成的算术平均值则为:  yi为第i组的组中值,ni为第i组的频数。 故可简言之:算术平均数即资料内所有变数之和被变数个数除所得的商。 |