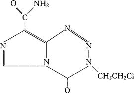
米托唑胺
C7H7ClN6O2=242.62 CAS-85622-95-3 3-(2-氯乙基)-3,4-二氢-4-氧代吡唑并[5,1-b]-1,2, 3,5-四吖嗪-8-甲酰胺。 3-(2-Chloroethyl)-3,4-dihydro-4-oxoimidazo[5,1-b]-as-tetrazine-8-carboxamide. 抗肿瘤药。 Mitozolomide,Azolastone,CCRG 81010,46241 RP,NSC 353451,M & B 39565. INN,BAN,USAN.  |