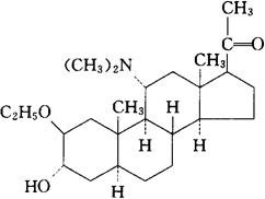
米那索龙
C25H43NO3=405.62 CAS-62571-87-3 (2β,3α,5α,11α)-11-(二甲氨基)-2-乙氧-3-羟-孕烷-20-酮。 (2β,3α,5α,11α)-11-(Dimethylamino)-2-ethoxy-3-hydroxypregnan-20-one. 11α-(二甲氨基)-2β-乙氧-3α-羟-5α-孕烷-20-酮。 11α-(Dimethylamino)-2β-ethoxy-3α-hydroxy-5α-pregnan-20-one. 麻醉药。 Minaxolone,C.C.I 12923. INN,BAN,USAN.  |