粕中糖度计算(有压榨水回流时)
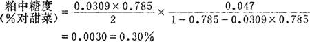
无压粕水回流时,废粕中糖分损失代表渗出过程的已知损失,换算成对甜菜重%也较容易。但有压粕水回流时,渗出过程的已知糖分损失为压粕中的糖分损失,换算成对甜菜重百分率的糖分损失则较复杂,下列公式为压粕水全部回收时的粕中糖度(%对甜菜),也即渗出损失。 1.第一法  举例 设: 菜丝——糖度16.5%;干固物23.1% 废丝——糖度0.72%;干固物8.15% 压粕——糖度0.77%;干固物19.1% 渗出汁——糖度13.81%;干固物15.43(Bx) 纯度89.5%  上述公式也可用下列方式表示:  按上述假设,可算得  2.第二法  举例 设: 菜丝中甜菜肉含量=4.7%,压粕水含糖=1.5% 压粕含水=78.5%,压粕水纯度=50% 则 R=2(0.015)/[1-2(0.015)]=0.0309  |