网站首页  词典首页

请输入您要查询的字词:

 

字词 粪箕笃
类别 中英文字词句释义及详细解析
释义 粪箕笃

【概况】:

异名 铁箕笃、铁线藤、飞天雷公、松紧藤(广西),犁头藤、疔草、铁板膏药草(福建),犁壁藤(福建、广东),青蛙藤、马力壮、百解、七厘藤、金不换(广东)。

基源 为防己科千金藤属植物粪箕笃的干燥全株。

原植物 粪箕笃Stephania longa Lour.

形态 缠绕藤本,长1~4m;分枝草质,有条纹。叶纸质或膜质,互生,三角状卵形,长3~9cm,宽2~6cm,顶端钝或具有小凸尖,基部截形或微缺,全缘而背卷,掌状脉10~11条;叶柄盾状著生,长1~5cm。花单性,雌雄异株;雄花序伞状至聚伞状;总花梗长1~3cm,分枝3~6,长短不等,有微柔毛或无毛;雄花萼片8,近楔形,长约1mm;花瓣4,近圆形,直径约4mm;聚药雄蕊长约0.6mm;雌花序较粗壮,分枝5~10;雌花萼片4,长约0.6mm;花瓣4,阔倒卵形,与萼片近等长。

核果长5~6mm,宽4~5mm,成熟时红色。花期6~8月。

(图见《中国高等植物图鉴》.第1册.783页.图1566)

生境与分布 生于村边或旷野的灌丛中。分布于福建、台湾、广东、广西、云南东南部。

【生药】:

采集 全年可采,一般多在秋季割取藤叶或连根挖取,洗去泥沙,除去细根,晒干或鲜用。

药材产于广东、广西。

鉴别 藤茎柔细,扭曲,粗1~2mm,棕褐色,有明显的纵行线条。叶三角状卵形,灰绿色或绿褐色,多皱缩卷曲。根茎圆柱状或不规则块状,下面分生许多根,长可达30cm,直径0.5~1.2cm,表面土黄色至暗棕色,有纵皱,质坚韧,不易折断,断面纤维性,有粉性。

贮藏 置通风干燥处。

。【化学】:

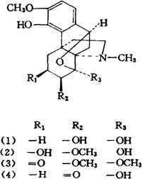
根及根茎含莲花烷型生物碱:千金藤包灵(Stephaboline)(1)、粪箕笃碱(Longaninine)(2)、粪箕笃酮(Longanone)(3)、千金藤比辛(Stephabyssine)(4)和Prostephabyssine(5)[1]

地上部分含生物碱Stephabyssine、Stephaboline和粪箕笃醚碱(Longetherine)(6)[2]。另含非碱性成分:阿魏酸-对羟基苯乙醇酯(p-Hydroxyphenylethanolferulate)、对-香豆酸-对羟基苯乙醇酯(p-Hydroxyphenylethanol p-coumarate)、桂皮酸(Cinnamic acid)、β-谷甾醇和β-谷甾醇-D-葡萄糖甙[3]

参考文献 [1] 化学学报 1982;40(11):1038 [2] Phytochemistry 1993:33(4):941 [3] 中国药科大学学报 1993;24(2):73

。【药性】:

性味 ❶ 《岭南采药录》:“味腥,性平。”
❷ 《陆川本草》:“苦,寒。”
❸ 《全国中草药汇编》:“微苦、涩,平。”

功效 清热解毒,利湿通便,消疮肿。

主治 热病发狂,黄疸,胃肠炎,痢疾,便秘,尿血,疮痈肿毒。 ❶ 《岭南采药录》:“治痢疾,又治发黄,发狂。乳疮,和片糖捣烂敷之。”
❷ 《陆川本草》:“治肠胃炎,大便秘结,蛇咬伤。”
❸ 《南宁市药物志》:“治炎症性腹泻及尿血;外敷恶疮,消肿毒。”
❹ 《全国中草药汇编》:“治肾盂肾炎,膀胱炎,慢性肾炎,肠炎,痢疾,毒蛇咬伤;外用治痈疖疮疡,化脓性中耳炎。”

用法用量 内服:煎汤,3~9g(鲜品15~30g)。

外用:捣敷。

【临床应用】:

方选和验方 ❶ 《陆川本草》:“治脱肛:粪箕笃15g,马马留卵15g,猪大肠1节,共煲服。”
❷ 《福建药物志》:“治小便不利:粪箕笃30g,车前草15g。水煎服,饭前服。”
❸ 《福建药物志》:“治眼翳:粪箕笃、截叶铁扫帚各30g,夜明砂、石决明各9g,青葙子、蛤蜊各6g。水煎服。


❹ 《福建药物志》:“治风湿性关节炎、坐骨神经痛:粪箕笃根30g,薏米60g。水煎,冲冬蜜服。”

单方应用 《全国中草药汇编》:“治化脓性中耳炎:粪箕笃30g,米酒(或30%~40%酒精)100ml,浸泡48小时后,加水过药面,加盖煮沸5~10分钟,冷却,将患耳脓液拭净,头向一侧,患耳向上,滴入药液3~4滴,5~10分钟后将药液倒出,擦干患耳,再滴入1~2滴,用棉花堵塞外耳道,1日1次。”

随便看

 

文网收录3541549条中英文词条,其功能与新华字典、现代汉语词典、牛津高阶英汉词典等各类中英文词典类似,基本涵盖了全部常用中英文字词句的读音、释义及用法,是语言学习和写作的有利工具。

 

Copyright © 2004-2024 Ctoth.com All Rights Reserved
京ICP备2021023879号 更新时间:2026/4/19 12:18:09