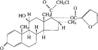
糠酸莫米松
C27H30Cl2O6=521.44 CAS-83919-23-7 (11β,16α)-9,21-二氯-17-[(2-呋喃基羰基)氧]-11-羟-16-甲基-孕甾-1,4-二烯-3,20-二酮。 (11β,16α)-9,21-Dichloro-17-[(2-furanylcarbonyl)oxy]-11-hydroxy-16-methyl-pregna-1,4-diene-3,20-dione. 9,21-二氯-11β,17-二羟-16α-甲基孕甾-1,4-二烯-3,20-二酮17-(2-糠酸盐)。 9,21-Dichloro-11β,17-dihydroxy-16α-methylpregna1,4-diene-3,20-dione 17-(2-furoate). 肾上腺皮质激素药(局部应用)。 莫米松糠酸酯,糠酸莫米松酯,糠酸莫米他松(中)。 Mometasone Furoate,Sch 32088. INN & BAN(Mometasone),USAN.  |