网站首页  词典首页

请输入您要查询的字词:

 

字词 累计间接费分配法
类别 中英文字词句释义及详细解析
释义 累计间接费分配法

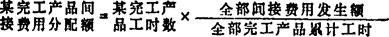
在生产周期较长,或生产批别、品种较多的企业里分配间接费用的一种方法。这种方法平时对间接费用不进行分配,而是不断累计起来,当产品完工时,一次进行分配。其计算公式为:

为了取得完工产品的累计工时数,平时须对产品的生产工时进行记录,而且不断累计起来。采用这种方法,简化了费用的分配手续,但平时在产品的成本明细帐中不能反映全部成本情况;在成本发生额不均衡的情况下,间接费用的分配也不够准确。

随便看

 

文网收录3541549条中英文词条,其功能与新华字典、现代汉语词典、牛津高阶英汉词典等各类中英文词典类似,基本涵盖了全部常用中英文字词句的读音、释义及用法,是语言学习和写作的有利工具。

 

Copyright © 2004-2024 Ctoth.com All Rights Reserved
京ICP备2021023879号 更新时间:2026/1/16 20:05:43