网站首页  词典首页

请输入您要查询的字词:

 

字词 红外目标辐射特性
类别 中英文字词句释义及详细解析
释义 红外目标辐射特性

辐射体通过电磁波向外输送辐射能,也可以认为是由光子输送能量。

这是两个独立的概念,都被用来解释辐射的物理特性。用频率γ、波长λ和波速c3个参数来描写辐射。

c是光子速度,其它两个参数是独立的,它们的关系是c=λγ。

可以任意选择γ或λ作为特征参数。若以波长来分类辐射,其波长较短的有γ射线和X射线,波长较长的是无线电波。波长从0.3到50μm的辐射是热辐射,是仅仅由于介质温度而引起的介质发射的辐射能。

波长0.76~1000μm的辐射,称为红外辐射。国际照明委员会把红外区又作了划分,由0.76~1,4μm为近红外,1.4~3μm为中红外,3~1000μm为远红外。

但根据应用之不同,如按地球大气对红外线的透明性,或在光谱学上,又有不同的划分方法。

离开作为辐射源的物体表面,向某一方向传递辐射能的量值,可以用辐(射)出(射)度简称辐出度,符号为M表示,其定义是离开表面一点处的面元辐射能通量,除以该面元的面积。

单位是每平方米瓦。在给定的温度和波长下,辐射体能够发射的辐射能,有一个最大数量,发射这个最大数量辐射能的物体称为黑体。

对于黑体可表达为:能完全吸收所有入射能量(不论其波长、方向或偏振态)的辐射体,当它在给定温度上达到热平衡时,它能在任何波长和方向上,发出最大的光谱辐出度。在热力学温度为T时,辐射体黑体的单位表面积,在波长dλ范围内,向半球空间发射的辐射功率,即光谱辐出度,可以由普朗克定律的显函数形式普朗克公式描述,公式为

单位每平方米瓦。总辐射特性是指整个波长范围,单位表面积,单位时间发射的能量,其值可以通过光谱能量密度积分得出,斯忒藩一玻耳兹曼定律(Stefan-Boltzmann law)给出黑体的总辐出度的计算式为

两式中,n为周围介质的折射指数,真空中n=1,气体中n=1;C1,C2是第1、第2辐射常数,6是斯忒藩-玻耳兹曼常数。

朗伯余弦定律指出,辐射源单位表面积向空间某方向单位立体角发射的辐射功率,和该方向与表面法线夹角的余弦成正比。

遵守此定律的源,称为朗伯源。它是一个理想化的概念,黑体精确遵守朗伯定律。

黑体是理想的辐射发射体,上面介绍了黑体表面的辐射特性。而常见的工程材料表面性能是不同于黑体的。

为此,定义一个无因次量——发射率ε,及定义光谱发射率ε(λ),表示所给表面相对于黑体表面的辐射能力,即

此处加了脚注bb,标明是黑体的参数。由于辐射的定向性,发射率又分为:半球发射率εh,方向发射率ε(θ),及法向发射率εn

朗伯体的εn,ε(θ)和εn相等,常记为ε。可以从资料中查出电绝缘体或导电体的εhn比值。

根据发射率的状态,辐射体可以分为黑体、灰体和选择性辐射体3类。

黑体,ε和ελ皆为1。辐射特性遵守普朗克定律和斯忒藩-玻耳兹曼定律。

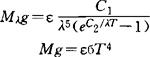
灰体,ε和ελ皆小于1。在整个研究的波长范围内,发射率是个不变的数。用脚注g表示灰体,则Mg=εMbb。若灰体是朗伯体,适合于该灰体的普朗克公式和斯忒藩-玻耳兹曼公式是

式中略去折射指数n。

选择性辐射体,光谱发射率随波长改变而变化,只在有限光谱区,有时可以看成是灰体。

辐射发射率的定义可以看出,它是一个与温度有关的量。同时,它也随著表面例如粗糙或光滑有关,有时甚至随著晶粒结构的不同,会有急剧地变化。

所以说,辐射发射率与物体材料、温度、波长和表面状态等因素有关,是一个不易定量的数值。但也有相当多的资料给出了物体状态在给定温度和波长情况下的光谱发射率或全发射率,可供查询参考。

当然,仅靠查资料来确定ε值,往往是很困难的。

气体介质不具有连续光谱。由于气体分子的振动和转动能级的跃迁,产生了红外辐射,双原子分子是能够进行这种跃迁的最简单分子。可是H2,O2和N2这种对称双原子分子,由于没有永久性的偶极矩,所以对于红外辐射是透明的。

多原子分子例如CO2,在红外范围内,它有两个基本光谱带,即波长为15和4.3μm为2.7和1.9μm的两条复合带。近年来不少文献讨论了红外辐射在气体中的辐射通量的计算。

由于气体的分子结构各异,谱带情况不同,所以红外辐射的传递问题,同时还要考虑包围气体的边界壁面的辐射特性,以及温度、压力等状态参数。

(清华大学魏平田副教授撰)

随便看

 

文网收录3541549条中英文词条,其功能与新华字典、现代汉语词典、牛津高阶英汉词典等各类中英文词典类似,基本涵盖了全部常用中英文字词句的读音、释义及用法,是语言学习和写作的有利工具。

 

Copyright © 2004-2024 Ctoth.com All Rights Reserved
京ICP备2021023879号 更新时间:2025/10/17 13:43:43