网站首页  词典首页

请输入您要查询的字词:

 

字词 红花鹿蹄草
类别 中英文字词句释义及详细解析
释义 红花鹿蹄草

【名称出处】:《长白山植物药志》

【概况】:

基源 为鹿蹄草科鹿蹄草属植物红花鹿蹄草的全草。

原植物 红花鹿蹄草Pyrola incarnata Fisch.ex DC.

历史 为东北地区民间药,近年对茎的化学成份作了分折研究。

形态 多年生常绿草本。

根状茎细长横生,斜升。叶基部簇生,叶柄长3~5mm;叶片圆形或卵状椭圆形,长宽2~4cm,基部和顶端圆形,边缘全缘或有不明显的缺刻,花葶长10~25cm,有1~3个苞片,苞片宽披针形至狭长圆形,长7~10mm;总状花序有花7~15朵,花深蔷薇色至红花,宽钟形,直径12~15mm;花梗上有苞片1枚,披针形,长于花梗;萼片三角状宽披针形,顶端浙尖,长约为花瓣的二分之一;花柱长,外露,有柱头盘。

蒴果扁圆球形,直径7~8mm。(图见《中国高等植物图鉴》.第3册.14页.图3982)

生境与分布 生于山林中,分布于中国东北及河北、内蒙、山西和新疆。

原苏联、蒙古、朝鲜和日本也有分布。。

【化学】:

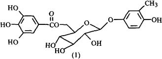
含具有利尿作用的单托品酯(Monotropein)[1],在乙酸乙酯提取部分,含有的化合物,有2-O-金丝桃甙没食子酸酯(2-O-Hyperin-qallate)和6-O-熊果酚甙没食子酸酯(6-O-Galloylhomoarbrytin)(1),为一个新的化合物[2]

参考文献 [1] CA 1965;62:12988d [2] Phytochemistry 1989;28(2):607

【药性】:

东北、内蒙古、河北个别地区也作鹿蹄草用。

随便看

 

文网收录3541549条中英文词条,其功能与新华字典、现代汉语词典、牛津高阶英汉词典等各类中英文词典类似,基本涵盖了全部常用中英文字词句的读音、释义及用法,是语言学习和写作的有利工具。

 

Copyright © 2004-2024 Ctoth.com All Rights Reserved
京ICP备2021023879号 更新时间:2026/1/16 14:15:24