纯硫代硫酸钠作漂白脱氯剂用量的计算
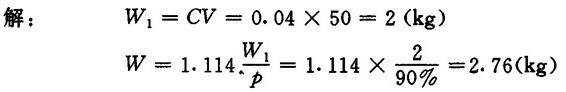
【说明】 根据反应: 2Ca(OCl)2+Na2S2O3+H2O=2CaCl2+Na2SO1+H2SO4 可看出,反应相当于2mol的Cl2(有效氯)与1mol的Na2S2O3正好相互作用。即141.84g有效氯作用掉158g硫代硫酸钠。 【公式】  式中 W——Na2S2O3的用量(kg) W1——漂白后浆料中残氯(即有效氯)量(kg),计算同式1-9-24 G1——Na2S2O3的摩尔质量(158g) G2——Cl2的摩尔质量(70.92g) p——Na2S2O3的纯度(%) 【例2】 某厂-50m3的漂池,漂后残氯为0.04g/L,求纯度为90%的Na2S2O3脱氯剂需用量?  |