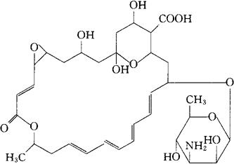
纳他霉素
C33H47NO13=665.73 CAS-7681-93-8 22-[(3-氨基-3,6-二脱氧-β-D-甘露吡喃糖基)氧]-1,3,26-三羟-12-甲基-10-氧代-6,11,28-三氧杂三环[22,3,1,05,7]二十八碳-8,14,16,18,20-五烯-25-羧酸的立体异构体。 Stereoisomer of 22-[(3-amino-3,6-dideoxy-β-D-mannpyranosyl)oxy]-1,3,26-trihydroxy-12-methyl-10-oxo6,11,28-trioxatricyclo[22,3,1,05,7]octacosa-8,14,1618,20-pentaene-25-carboxylic acid. 抗生素类药。 Natamycin,Myprozine,Natacyn. INN,BAN,DCIT,NFN,USAN,USP,MI.  |