纸机局部与总体速度不同步的原因及调整计算实例
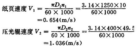
【例】 某厂一纸机生产牛皮卡纸,发现纸页的速度与压光机的速度不同步,压光机的可控硅无级调速只能补偿10个传动比,调到极限仍断纸,生产被中断。试分析其原因并对其进行同步调整计算。 解: ❶ 原因分析计算 首先测量纸页和压光辊速度。测得数据,烘缸转速n1=10r/min,供缸直径D1=1250mm,压光辊转速n2=49.5r/min,压光辊直径D2=400mm。  故V2>V1,纸页必然被拉断。 ❷ 同步调整计算 a.求不断纸传动比并验证可控硅调速电机无法补偿速度差 不断纸的条件:降低压光辊的速度,使其与纸页的速度相等。 令V2′=V1(V2′为不断头时压光辊的速度)即:  原减速机速比i=23.34 速比差△=i′1-i1=38.41-23.34 =15.07>10 所以,调速电机无法补偿。 b.同步调整计算 调整的方法是改动原减速机中一对齿轮。 原减速机速比为:  为便于加工,更换模数小的那一组,即将81/18改为88/11,改后的传动比i2为:  改后传动比i2与不断头速比i2之差为: △i′=i2-i1′=41.5-38.41 =3.09<10 即在可控硅调速电机范围内,可使压光辊速度调到与纸页的速度相等。 |