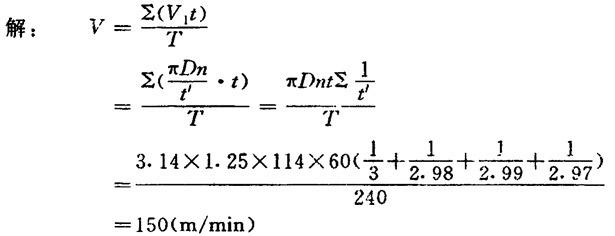
纸机平均车速的计算
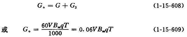
【说明】 纸机平均车速指平均每分钟运行的速度,可用以下两种方法计算。 1.测算法 【说明】 指通过测定造纸机最后一个烘缸的线速度来表示的方法。 【公式】  式中 V——平均车速(m/min) V1——最后一个烘缸的线速度(m/min) t——两次测定的间隔时间(min) T——作业时间(min) 【例】 某纸机测定最后一个烘缸的线速四次,每次测定的相隔时间为60min.烘缸转速为114r/min。每次测定时间为3、2.98、2.99及2.97min,作业时间共240min,烘缸直径1.25m,计算该纸机的平均抄速是多少?  2.用抄造量进行推算 【公式】  式中 V——平均车速(m/min) G——纸机的实际抄造量(kg) Bm——抄宽(m) q——定量(g/m2) G1——抄造损失量(kg),见式1-15-609 T——作业时间(min)  |