网站首页  词典首页

请输入您要查询的字词:

 

字词 纸浆组分调节系统调节器的整定
类别 中英文字词句释义及详细解析
释义 纸浆组分调节系统调节器的整定

[说明]计算组分调节系统整定值的参数,可分为静态计算和动态计算。静态计算是根据纸机生产量和纸页组分来求取各组分的比例系数;动态计算是为了求取调节器动态整定值的最佳参数值。

1.纤维组分的调节整定计算

[说明]图4-6-16a线路由化学浆W1(P)、损纸浆W2(P)、染料W3(P)这三种组分流量调节器和配浆箱液位调节器W4(P)所组成。主要参数为机械浆流量xλ4,它是根据配浆箱中液位x出4而变化的。

W1(P)~W6(P)-比例积分调节器的传递函数W对象i(P)~W对象6(P)-对象的传递函数

xλ1~xλa-输入量 x出1~xm6-输出量 K1~K5-比例继动器、气动整定机构的传递系数

❶ 各组分的比例系数的计算

[说明]当各组分的浓度一定时,它们之间的比例可根据体积流量(并考虑浓度)选择。

a.化学浆的比例系数K

式中 K——由化学比例继动器来调整的比例系数

Q、Q——化学浆和机械浆的百分含量(%)

C、C——机械浆和化学浆的浓度(%)

b.损纸浆的比例系数K

式中 K——由损纸比例继动器来调整的比例系数

Q——损纸的百分含量(%)

C——损纸浆浓度(%)

c.染料的比例系数K

式中 K——由染料比例继动器来调整的比例系数

Q——染料含量百分数(%)

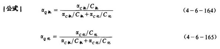
❷ 调整机构的整定值的计算

[说明]在对组分串级调节系统进行静态计算的时候,应根据给定的重量比例来计算气动调整机构的整定值。

式中 αo机、αo化——当时浓度下机械浆和化学浆的流量(%)

αc机、αc化——机械浆和化学浆的绝干物含量(%)

C、C——化学浆和机械浆的浓度(%)

[例]在纸页中绝干化学浆纤维含量约为30%,而机械浆为70%,那么,当这些组分的浓度相应地为3%和3.5%时,求其调节器整定值。

2.调料过程各组分的调节整定计算

❶ 各组分比例系数的计算

[说明]在图4-6-16c中,主参数是用纸浆流量的信号x出5,该信号用流量调节器W5(P)进行稳定。流量调节器W5(P)由配浆箱中液位调节器W6(P)来的信号进行整定。根据纸浆流量可调节白水流量W1(P)、矾土量W2(P)、损纸量W3(P)和胶料量W4(P)的比例。胶料量可加入到配浆箱中而对配浆箱中液位的变化没有影响。在在图2-6-16c所示的线路中,求取比例继电器的数值可用下式。

式中 Ki——第i种组分的比例系数

Qi额定——第i种组分的额定流量

Qi最大——第i种组分的最大流量(仪表刻度)

Q额定——主要组分的额定流量,由它动作其他次要组分调节器的给定值

Q最大——测量主要组分流量的最大刻度

❷ 远距离定值器的整定值所必需的压力计算

式中 Ki——同上

随便看

 

文网收录3541549条中英文词条,其功能与新华字典、现代汉语词典、牛津高阶英汉词典等各类中英文词典类似,基本涵盖了全部常用中英文字词句的读音、释义及用法,是语言学习和写作的有利工具。

 

Copyright © 2004-2024 Ctoth.com All Rights Reserved
京ICP备2021023879号 更新时间:2025/10/17 21:29:36