线压力的计算
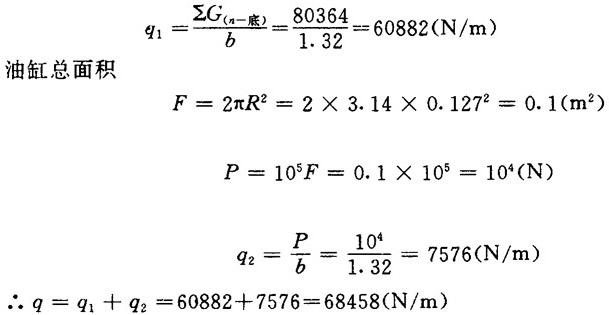
【说明】 超纸压光机各辊筒上的压力一般是由顶辊到底辊递增的。底辊及下数第二辊之间的压力最大。纸幅承受的压力通常以每米宽度上的力表示,称为线压力。 【公式】  式中 q——线压力(N/m) q1——除底辊外全部辊筒的线压力(N/m) q2——外加线压力(油压)(N/m) ∑G(n-底)——除底辊外,全部辊筒重量(N) b——纸粕辊的有效工作面宽(m) P——油缸压力(N) 【例】 以仿CKK-10型超级压光机为例,除底辊外,11只辊筒总重力为80364N,第二底辊的面宽为1.32m,油压缸有两只,其直径为0.254m,如油缸每增加1m2能产生105N油压力,求底辊上承受的总线压力。 解:  |