网站首页  词典首页

请输入您要查询的字词:

 

字词 线性规划单纯形法
类别 中英文字词句释义及详细解析
释义 线性规划单纯形法

一种求解线性规划模型的通用算法,它是从满足线性规划所有结构约束条件的可行方案中,用替代法则逐步找到使目标函数最优的方案的计算方法和步骤。

此法于1947年由美国捷格首先创立(单纯形是数学术语,在n维空间内有n+1个点组成的几何图形称单纯形)。求解线性规划问题,一般均可用单纯形法,单纯形法通常可用单纯形表进行运算。单纯形表的构造形式如下:

用单纯形表求解线性规划问题的步骤如下:

第一步:将待求解的线性规划模型转换成标准形式。用上述单纯形表进行运算,线性规划模型必须转变成满足下列条件的标准形式:

(1)目标函数取MAX化形式;

(2)全部约束条件改写成等式形式(通过引入附加变量);

(3)全部约束条件右端项b1≥0;

(4)约束条件系数矩阵中(A阵),有一个阶数和约束条件个数相同的单位子矩阵;

(5)全部变量(包括附加变量)均应非负(即变量≥0)。

第二步:填充初始单纯形表,即按模型规模填写X行,C1行,a1j系数表,右边常数列b1

第三步:按初始基本解,分清基变量与非基变量,填好C1列及XB列(aij系数矩阵中单位子矩阵对应的变量即为基变量XB)。

第四步:计算现行解的目标函数值及检验数。

检验数:

第五步:判断解的最优性。

(1)若检验数行中所有Zj-Cj≥0,且没有人工变量在基中取正值,这时问题取得最优解,终止运算。基变量对应的b列值为基变量解的取值,非基变量为零(若全部Zj-Cj≥0,人工变量在基中取正值,说明原问题无可行解,运算亦终止)。

(2)若检验数行中存在Zj-Cj<0,说明现行解应当改进,转入下一步(若对任一Zj-Cj<0的检验数,它所对应的a1j系数中列向量没有正元素,那么原问题为无界解,运算应终止)。

第六步:选标准列(或称主列),确定进基变量。

在Zj-Cj<0的诸元素中,择其绝对值最大检验数所在列用*作记,称标准列,该列所对应非基。变量即为进基变量。

第七步:选标准行(或主行),确定出基变量。将标准列中对应的正系数aij*除同行右端常数b1,填入θ列:选择θ1值最小行,

用*作记,称标准行,该行所对应的基变量即为出基变量。

第八步:作变量代换,进行迭代运算,得到新的单纯形表。

以标准行与标准列交叉处元素a1*j*为枢轴元素(或称主元),Xj*为进基变量,X1*为出基变量,作变量更换(基变量及其在目标中的系数同时更换)。作变量代换后,用矩阵的初等变换方法,将枢轴元素变为1,而枢轴元素对应列中其他元素都变为0(初等变换运算包括Zj-Cj行,bi列同时进行,在这个运算过程中,表中其他元素也发生了相应变化)。得到新的单纯形表后,转入第五步。

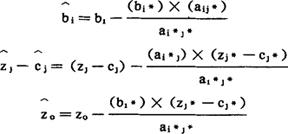
迭代运算过程(用矩阵初等变换求解新表的运算过程),可归结成如下计算:

(1)新表中主元列(j*)各元素,除主元素a1*j*是1以外,其余全部为

(2)新表中主元行(i*)各元素,为旧表中元素乘主元素倒数得到:

(3)新表中其他(非主行主列)元素可按下式计算:

(注:有“”号的表示新表元素,无“”号的表示旧表元素)

这个算法可统一成:

图示如下:

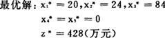
例:对线性规划模型条目中所给例题,用单纯形表求解:

引入松弛变量x3,x4,x5将模型标准化:

MAXZ=7x1+12x2+0(x3+x4+x5)

随便看

 

文网收录3541549条中英文词条,其功能与新华字典、现代汉语词典、牛津高阶英汉词典等各类中英文词典类似,基本涵盖了全部常用中英文字词句的读音、释义及用法,是语言学习和写作的有利工具。

 

Copyright © 2004-2024 Ctoth.com All Rights Reserved
京ICP备2021023879号 更新时间:2025/10/18 17:00:50