网站首页  词典首页

请输入您要查询的字词:

 

字词 线性规划灵敏性分析
类别 中英文字词句释义及详细解析
释义 线性规划灵敏性分析

指线性规划模型中各类参数对最优解的影响分析。

具体地讲,是研究模型中目标函数系数cj、资源数(右边常数)bi及技术系数aij发生变化时,最优解将受到什么影响,某个参数变动多大范围才会使最优解变化,最优解对哪些参数反应灵敏等。了解这些情况,作出分析,能使管理者具有更大的主动性。

这里通过一个例子,说明一些简单的灵敏分析方法。

某厂拟生产甲、乙两种产品,主要消耗A、B两种原料。

生产单位甲产品需A原料2吨,B原料4吨;生产单位乙产品需A原料3吨,B原料2吨。目前,该厂有A原料100吨,B原料120吨。又知生产单位甲产品可获利润6千元,单位乙产品一件可获利润4千元。问如何安排生产,能获得最大利润?

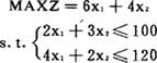
用线性规划模型求解,设生产甲产品X1单位,生产乙产品X2单位,建立模型

引入松弛变量X3,X4(分别表示A、B原料的剩余量)后,模型化为标准型:

用单纯形法求解:

结果表明:生产甲产品,乙产品各20单位,获利最大,为200(千元),这种方案A、B两种原料均用尽。

(1)目标函数系数Cj变化对解的影响

这里又分为两种情况:

❶ 基变量系数Cj变化

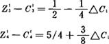
设甲产品单位利润C1发生变化,变化量为ΔC1,这个变化量在什么范围内最优解仍维持不变,可通过最终单纯形表计算出。

在最终表中,由基变量X1所在行,将非基变量所对应元素(表中虚线框元素)分别乘以ΔC1,加到它们的检验数上,得到变化后的非基变量检验数:

保持检验数Zj-Cj≥0,则最优解不变

即令

两不等式必须同时满足,故≤ΔC1≤2,说明甲产品的单位利润在增加2(千元)和减少(千元)范围内,上述计划不变;或者得到≤2+6,即#≤C1≤8,表明只要甲产品的单位利润在〔,8〕这个范围内,生产计划都不必改变。

如果甲产品单位利润变化超出了上述范围,可利用检验数变化了的最终表继续迭代,求出新的最优解。

❷ 非基变量系数Cj变化

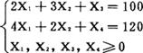
设x3目标系数变化,变化量为ΔC3,此时只影响X3在最终表的检验数,将最终表X3的检验数减去ΔC3,同时保证≥0,即可得到使最优解不变的系数变化范围。

说明C3的变化不超过,原计划不变。

例如,假设A原料若剩余1吨,可通过对外处理获1千元利润,讨论原计划方案是否变化。

这里ΔC3=1(原C1=0),超过了上述范围,计划要改变,续检验数变化后的最终表用单纯形法继续迭代:

新的最优方案为,生产甲产品30件,乙产品不生产,A原料有40吨可对外处理,B原料用尽,这样可获利润220(千元)。通过分析,当C2变化后,找到了调整的最优方案。

(2)资源数(右边常数)bi变化对解的影响

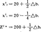
设A原料数量发生了变化,变化量为Δb1。资源发生这个变化后对最优解的影响,可以从最终单纯形表直接得到。

在最终表中,找到变化资源的松弛型量(本问题A原料的松弛变量为X3),将该变量在最终表的那一列元素(表中虚线框元素)分别乘以Δb1,加到对应的b列元素上,即得到变化后的解:

例如,若A原料增加了4吨(即Δb1=4),则新的最优解为:

说明,若A增加4吨后,应调整计划,甲产品生产19单位,乙产品生产22单位,可获利润202千元。

只要变化后的解是非负数,则这样得到的解就是新的最优解。欲求出使最优基不变(即品种安排不变)的资源变化范围,只要保证变化后的解≥0即可求出。

说明A原料在增加80吨和减少40吨(或说A原料拥有量在60~180吨)范围内,上述最终表仍作为最优表不变。对应这个具体问题,说明都应组织两种产品的生产。

(3)技术系数a1j变化对解的影响。

这里仅介绍最简单情况,aij数目增多,即技术系数矩阵扩大的情况。对应有下面两种情况的经济分析。

❶ 增加新的约束条件对解的影响

设再考虑C原料:生产这两种产品不得超过150吨,单位甲、乙产品分别耗用C原料2吨和5吨。可列出新增的约束方程:

2X1+5X2≤150

将原来的最优解X1*=20,X2*=20代入:

2×20+5×20≤150

不等式成立。

故新增约束条件不影响最优解,仍按原方案生产。

若代入新的约束条件,不等式不成立,说明影响最优解。则可将新增约束条件加入松弛变量,用对偶单纯形法继续运算,得到新的最优解。

如C原料可用量只有130吨,原最优解代入不满足约束不等式。重新找最优解,引入松弛变量X5

2X1+5X2+X5=130

加入原最优单纯形表,得到

结果表明,考虑C资源用量只130吨的情况下,生产计划要调整为甲产品25单位,乙产品10单位,获利润190(千元)。利润减少了,这是由于新增约束条件使可行域缩小的缘故。

❷ 增加新决策变量

可对应于新产品开发问题。设该厂考虑增加新产品丙,单位丙产品消耗A原料3吨,B原料6吨,单位利润8千元,新产品是否应当生产?

用变量X6表示新增产品丙,根据检验数的经济含义,用新增产品对A、B原料的耗用量分别乘以A、B原料影子价格(即A、B资源松弛变量检验数),用它们的和减去新增产品单位利润,得到新增产品x6在原问题最终单纯形表中检验数:

说明新增变量不影响原最终单纯形表最优性,即对最优解无影响,不予考虑新产品的投产。

若这样计算出的检验数小于零,说明破坏了原解的最优性,应考虑新产品的投产。具体的最优计划,可通过增加了一列元素的原最终单纯形表继续迭代得到。

〔参〕“求解线性规划单纯形法”,“对偶单纯形法”

随便看

 

文网收录3541549条中英文词条,其功能与新华字典、现代汉语词典、牛津高阶英汉词典等各类中英文词典类似,基本涵盖了全部常用中英文字词句的读音、释义及用法,是语言学习和写作的有利工具。

 

Copyright © 2004-2024 Ctoth.com All Rights Reserved
京ICP备2021023879号 更新时间:2025/10/19 2:10:19