网站首页  词典首页

请输入您要查询的字词:

 

字词 终身死亡保险趸交纯保费计算
类别 中英文字词句释义及详细解析
释义 终身死亡保险趸交纯保费计算

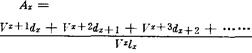
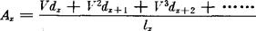
寿险计算方法。其计算公式(以保额1元为基数):

将分子分母同乘Vx则:

设:cx=Vx+1dx,cx+1=Vx+2dx+1……,Dx=VxLx

再设Mx=cx+cx+1+cx+2+……

则:

其中,Ax代表终身死亡保险保险金额为一元的趸缴纯保险费。V为贴现因子(1+i)-1,dx为x岁与x+1岁之间的死亡人数,Cx、Dx与Mx常称为寿险精算换算符号。

随便看

 

文网收录3541549条中英文词条,其功能与新华字典、现代汉语词典、牛津高阶英汉词典等各类中英文词典类似,基本涵盖了全部常用中英文字词句的读音、释义及用法,是语言学习和写作的有利工具。

 

Copyright © 2004-2024 Ctoth.com All Rights Reserved
京ICP备2021023879号 更新时间:2026/1/17 15:50:04