网站首页  词典首页

请输入您要查询的字词:

 

字词 经验概率
类别 中英文字词句释义及详细解析
释义 经验概率

又叫统计概率。

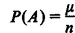
概率的一种。主要是根据实际实验或调查的结果而计算出来的概率。如果在相同的条件下进行几次试验,其中事件A发生的次数为μ,则

的值就是事件A的频率。它是事件A发生的概率的近似值。当试验次数n无限增大时,μ/n的极限就是事件A的频率。即

随便看

 

文网收录3541549条中英文词条,其功能与新华字典、现代汉语词典、牛津高阶英汉词典等各类中英文词典类似,基本涵盖了全部常用中英文字词句的读音、释义及用法,是语言学习和写作的有利工具。

 

Copyright © 2004-2024 Ctoth.com All Rights Reserved
京ICP备2021023879号 更新时间:2026/4/16 15:36:34