结晶罐加热面积的确定和传热系数
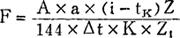
1.加热面积的确定 每米3有效容积具有的加热面积(米2)是结晶罐应具备的主要条件之一,它与使用的汁汽压力有关,可选用下列数值: 表6-16 结晶罐加热面积与汁汽压力的关系  2.加热面积的计算  式中 F——所需加热面积(米2) A——甜菜加工量(吨/日) a——煮糖消耗的汁汽量(%对甜菜) i——汁汽的热含量(千卡/公斤) tK——凝结水温度(℃) Z——全循环煮糖时间(分) △t——有效温度差,即加热用汁汽温度与罐内沸腾温度之差(℃) K——传热系数(千卡/米2·时·℃) Z1——每罐的有效作业时间 3.结晶罐的传热系数(K) 因糖膏质量、设备条件等不同而有所不同,表6-17提供各种糖膏的参考数据。 表6-17 结晶罐的传热系数(千卡/米2·时·℃)  上述数据系一个煮糖周期中的平均值,煮糖初期及末期有很大的不同,见表6-18。 表6-18 结晶罐煮糖初期和末期的传热系数  |