维生素B2[典]
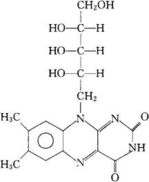
C17H20N4O6=376.37 CAS-83-88-5 6,7-二甲基-9-(D-核糖醇基)异咯嗪。 6,7-Dimethyl-9-(D-ribityl)isoalloxazine. 维生素类药。参与体内生物氧化作用。 用于防治口角炎、舌炎、阴囊炎、结膜炎、脂溢性皮等炎维生素B2缺乏症。 核黄素(台),乳黄素、维生素乙2,维他命B2。 Vitamin B2,Riboflavin,Flavaxin,Lactoflavinum. 维生素B2片(核黄素片),维生素B2注射液(核黄素注射液),核黄素锭(台)。 INN,BP,DCF,DCIT,EP,FP,GDP,JP,NFN,USAN,USP,USSRP,MI.  |