维脑路通[中]
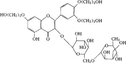
C33H42O19=742.68 CAS-7085-55-4 3′,4′,7-三(羟乙基)芦丁。 3′,4′,7-Tris(hydroxyethyl)rutin. 心血管病药。用于闭塞前综合征、血栓性静脉炎、毛细血管出血等。 羟乙基芦丁,维生素P4,三羟乙基芦丁,维诺芦通。 Venoruton,Troxerutin, Hydroxyethylrutin,Trioxyethylrutin,Posorutin,Venorutin-P4,Vitamin P4,THR. 维脑路通片(羟乙基芦丁片),维脑路通注射液(羟乙基芦丁注射液),维脑路通胶囊(羟乙基芦丁胶囊)。 INN,BAN,DCF,NFN,USAN,MI.  |