网站首页  词典首页

请输入您要查询的字词:

 

字词 缓冲装置
类别 中英文字词句释义及详细解析
释义 缓冲装置

液压缸的行程终端缓冲装置可使带著负载的活塞在到达行程终端时减速到零,目的是消除因活塞的惯性力和液压力所造成的活塞与端盖之间的机械撞击,同时也为了降低活塞在改变运动方向时液体发出的噪声。

缓冲装置的工作原理,是当活塞在到达行程终端之前的一定距离内,设法把排油腔内之油液的一部分或全部封闭起来,使其通过节流小孔(或缝隙)排出,从而使被封闭的油液,产生适当的缓冲压力作用在活塞的排油侧上,与活塞的惯性力相对抗,以达到减速制动的目的。

缓冲装置的结构型式,可根据节流小孔(或缝隙)的流通面积,在缓冲过程中能否自动改变来分类,通常可分为恒节流型和变节流型。

(1)恒节流型缓冲装置

恒节流型缓冲装置其缓冲柱塞通常为圆柱形,当缓冲柱塞进入后端盖时,缓冲腔连通排油口的流通面积渐渐变小,最后变零。缓冲腔内油液被封闭,而只能通过缓冲柱塞与后端盖的环行缝隙(见图23.3-30)或通过油道3和节流阀4流入后端盖的排油口(见图23.3-31)。在缓冲腔被封闭的油液受活塞的挤压使缓冲压力上升到高于活塞另一侧的压力,使活塞减速制动,以达到活塞缓冲的目的。

1-活塞;2-缓冲柱塞;3-油道;4-节流阀;5-后端盖;6-单向阀;7-缓冲腔

恒节流型缓冲装置,在缓冲过程中,由于其节流面积不变,故在缓冲开始时,产生的缓冲制动力很大,但很快就降低下来(见图23.3-33)的圆柱形缓冲柱塞缓冲压力曲线),最后不起作用,其缓冲效果并不理想。但是在一般通用型的系列产品中,为了使结构简单,降低成本仍多采用此种缓冲装置。图23.3-31是此类液压缸缓冲装置的典型结构。节流阀4可根据液压缸负载情况调节节流孔的大小,即可控制缓冲腔内缓冲压力的大小。当活塞作反向运动时,高压油从单向阀6进入液压缸内,活塞不会因推力不足而产生起动缓慢或困难的现象。

(2)变节流型缓冲装置

变节流型缓冲装置其缓冲柱塞在缓冲过程中,节流面积随行程而变化,使缓冲压力保持均匀或呈一定的规律变化,而取得理想的缓冲效果。

图23.3-32为缓冲柱塞的几种结构形状。

(a)抛物线;(b)铣槽;(c)梯阶形;(d)圆锥形;(e)双圆锥形;(f)两级缓冲;(g)多孔缸筒;(h)多孔缓冲柱塞

缓冲柱塞为凹抛物线形图23.3-32a,可达到恒减速度,有理想的缓冲效果如图23.3-33所示的缓冲压力pc较低而平坦(理想抛物线),但加工成本偏高。

缓冲柱塞为铣槽图23.3-32b、梯阶形图23.3-32c、圆锥形图23.3-32d、双圆锥形图23.3-32e、两级缓冲图23.3-32f等形状,它们都是从加工简便出发,尽量接近于凹抛物线,降低缓冲压力pc的峰值,但仍有轻微的脉冲(参见图23.3-33)。这对有高精度机床的进给液压缸,仍不理想。

多孔缓冲缸筒[图23.3-32(g)]或多孔柱塞[图23.3-32(h)],可适当布置每排节流小孔的数量和各排节流小孔的间距,使节流面积更接近于理想抛物线,从而使缓冲压力pc基本上接近理想曲线。

(3)缓冲装置计算

A.假设

油液是不可压缩的;

节流系数cd是恒定的;

流动状态是紊流;

缓冲过程中,进口压力不变;

密封件摩擦阻力相对于惯性力很小,可略去不计。

B.缓冲压力一般计算公式

在缓冲制动情况下,液压缸活塞的运动方程式(见图23.3-34~23.3-35)为

1-节流阀;2-单向阀

在一般情况下,出口压力p2≈0,由此可得缓冲压力pc

由此便可找出最大缓冲压力的数值。

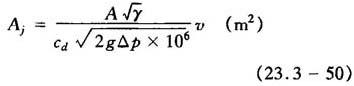
求出相应于S的节流面积:

由此便可以设计出按照所需要的减速规律,随S而变的变节流面积。

式(23.3-48)、(23.3-49)、(23.3-50)中符号所代表的意义和单位同前。

随便看

 

文网收录3541549条中英文词条,其功能与新华字典、现代汉语词典、牛津高阶英汉词典等各类中英文词典类似,基本涵盖了全部常用中英文字词句的读音、释义及用法,是语言学习和写作的有利工具。

 

Copyright © 2004-2024 Ctoth.com All Rights Reserved
京ICP备2021023879号 更新时间:2025/10/17 17:14:53