网案高度的计算
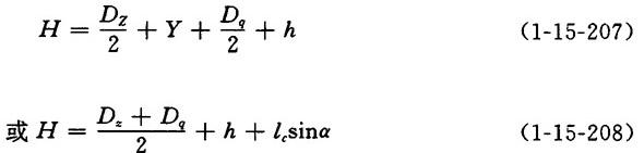
【说明】 参见图1-15-23。 (a)-无驱网辊时 (b)-有驱网辊及真容吸移辊时 1-真空伏辊 2-驱网辊 3-吸移辊 4-底轨 1.当无驱网辊时的网案高度计算 【公式】 H=Dz+h (1-15-206) 式中 H——网案高度(mm) Dz——真空伏辊直径(mm) h——真空伏辊下方的高度(mm),通常对于常见的悬臂式和移出式网案可取h=400~600mm 2.有驱网辊及真空吸移辊时的网案高度计算 【公式】  式中 H——网案高度(mm) Dq——驱网辊直径(mm) lc——真空伏辊与驱网辊间的中心距(mm),初步设计时可取为:  Dx——真空吸移辊直径(mm) α——真空伏辊与驱网辊间的网段相对于水平线的倾射角度,即成形网在真空伏辊上的包角(度),在初步设计时可取为:  C——真空伏辊真空箱吸口总宽度(mm) |