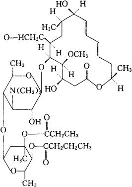
罗他霉素
C42H69NO15=828.01 CAS-74014-51-0 [(4R,5S,6S,7R,9R,i0,11E,13E,16R)-7-(甲酰甲基)-4,10-二羟-5-甲氧-9,16-二甲基-2-氧代氧杂环十六碳-11,13-二烯-6-基]-3,6-二脱氧-4-O-(二脱氧-3-C-甲基-α-L-核-吡喃己糖基)-3-(二甲氨基)-β-D吡喃葡糖苷4′-丁酸盐-3′-丙酸盐。 [(4R,5S,6S,7R,9R,10,11E,13E,16R)-7-(Formylmethyl)-4,10-dihydroxy-5-methoxy-9,16-dimethyl-2-oxooxacyclohexadeca-11,13-dien-6-yl]-3,6-dideoxy-4-O-(dideoxy-3-C-methyl-α-L-ribohexopyranosyl)-3-(dimethylamino)-β-D-glucopyranoside 4′-butyrate-3′-propionate. 抗生素类药。 Rokitamycin,Antibiotic TMS 19Q,4B-Butanoate3B-Propionate,LeucomycinV,Prokitamycin,Ricamycin,TMS 19Q. INN,USAN,MI. 
|