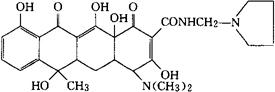
罗利环素
C27H33N3O8=527.57 CAS-751-97-3 4-(二甲氨基)-1,4,4a,5,5a,6,11,12a-八氢-3,6,10,12,12a-五羟-6-甲基-1,11-二氧代-N-(1-吡咯烷甲基)-2-并四苯羧酸。 4-(Dimethylamino)-1,4,4a,5,5a,6,11,12a-octahydro-3,6,10,12,12a-pentahydroxy-6-methyl-1,11-dioxo-N-(1-pyrrolidinylmethyl)-2-naphthacenecarboxylic acid. N-(1-吡咯烷甲基)四环素。 N-(1-Pyrrolidinylmethyl)tetracycline. 抗生素类药。 吡咯四环素。 Rolitetracycline,Syntetrin,Tetraverin,Transcyclin,Velacycline,Bristacin. INN,DCF,DCIT,JP,NF,NFN,USAN,USP,MI.  |