罗坦西林
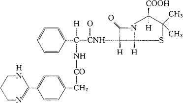
C28H31N5O5S=549.64 CAS-55530-41-1 (2S,5R,6R)-3,3-二甲基-7-氧代-6-[(R)-2-苯基-2-[2-[对-(1,4,5,6-四氢-2-嘧啶基)苯基]乙酰胺基]乙酰胺基]-4-硫杂1-氮杂双环[3.2.0]庚烷-2-羧酸。 (2S,5R,6R)-3,3-Dimethyl-7-oxo-6-[(R)-2-phenyl2-[2-[p-(1,4,5,6-tetrahydro-2-pyrimidinyl)phenylacetamido]acetamido]-4-thia-1-azabicyclo[3.2.0]heptane-2-carboxylic acid. 6-[2-苯基-2-[2-[对-(1,4,5,6-四氢-2-嘧啶基)苯基]乙酰胺基]乙酰胺基]青霉烷酸。 6-[2-Phenyl-2-[2-[p-(1,4,5,6-tetrahydro-2-pyrimidinyl)phenyl]acetamido]acetamido]penicillanic acid. 抗菌药。 Rotamicillin. INN,USAN.  |