网站首页  词典首页

请输入您要查询的字词:

 

字词 罗昔洛韦
类别 中英文字词句释义及详细解析
释义 罗昔洛韦

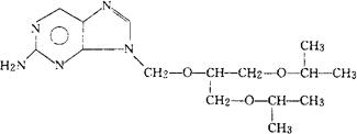
C15H25N5O3=323.40

CAS-108436-80-2

2-氨基-9-[[2-异丙氧-1-(异丙氧基甲基)乙氧]甲基]嘌呤。

2-Amino-9-[[2-isopropoxy-1-(isopropoxymethyl)ethoxy]methyl]purine.

抗病毒药。

Rociclovir.

INN,USAN.

随便看

 

文网收录3541549条中英文词条,其功能与新华字典、现代汉语词典、牛津高阶英汉词典等各类中英文词典类似,基本涵盖了全部常用中英文字词句的读音、释义及用法,是语言学习和写作的有利工具。

 

Copyright © 2004-2024 Ctoth.com All Rights Reserved
京ICP备2021023879号 更新时间:2025/10/18 23:57:30