羊吊钟
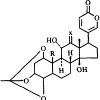
【名称出处】:《全国中草药汇编》 【概况】: 异名 玉吊钟(《全国中草药汇编》)。 基源 为景天科落地生根属植物洋吊钟的鲜全草。落地生根属约20种,主产于非洲;中国栽培有3种,其中2种供药用。 原植物 洋吊钟Kalanchoe verticillata Elliot(Bryophyllum tubiflorum Harv.) 形态 多年生肉质草本,植株高可达1m。 茎直立,无毛,不分枝或由基部分枝。 单叶,对生或轮生,无柄;叶片淡绿色而有紫褐色斑点,近圆柱形,长3~15cm,水平排列于茎上,每叶顶端常萌生出4个小芽孢体,该芽孢体在植株能生根,落地后即能独立生长。聚伞花序顶生,花下垂,长约2.5cm,橙红色、红色或黄色,花冠4裂;雄蕊8,2轮,著生于花冠管基部,心皮4,分离。 蓇葖果。种子多数。花期10月至翌年3月。 (图见《福建植物志》.第2卷.图171) 生境与分布 原产非洲马达加斯加,中国福建、广西等地栽培观赏。 。【化学】: 含强心甙类化合物,有藓毒素A(Brytoxin A,Bufadienolide 3’-0-acetyl-4’,6’-dideoxyalroside)、藓毒素B(1,3,5-Orthoacetate bufadienolide)、藓毒素C(Orthoacetate bufadienolide)(2)[1,2]。 参考文献 [1] CA 1986;104:14546k [2] CA 1987;106:2890w  【药性】: 性味 《全国中草药汇编》:“酸,凉。” 功效 清热解毒。 主治 烧烫伤,外伤出血,疮疖红肿。 用法用量 外用:捣敷,或加黄糖捣敷。 |