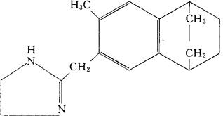
美曲唑啉
C17H22N2=254.37 CAS-38349-38-1 2-[(1,2,3,4-四氢-7-甲基-1,4-桥亚乙基萘-6-基)甲基]-2-咪唑啉。 2-[(1,2,3,4-Tetrahydro-7-methyl-1,4-ethanonaph thalen-6-yl)methyl]-2-imidazoline. 4,5-二氢-2-[(1,2,3,4-四氢-7-甲基-1,4-桥亚乙基萘-6-基)甲基]-1H-咪唑。 4,5-Dihydro-2-[(1,2,3,4-tetrahydro-7-methyl-1,4-ethanonaphthalen-6-yl)methyl]-1H-imidazole. 血管收缩药。 Metrafazoline. INN,DCIT,USAN.  |