网站首页  词典首页

请输入您要查询的字词:

 

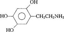
字词 羟多巴胺
类别 中英文字词句释义及详细解析
释义 羟多巴胺

C8H11NO3=169.18

CAS-1199-18-4

5-(2-氨乙基)-1,2,4-苯三酚。

5-(2-Aminoethyl)-1,2,4-benzenetriol.

抗青光眼药。

Oxidopamine.

INN,USAN.

随便看

 

文网收录3541549条中英文词条,其功能与新华字典、现代汉语词典、牛津高阶英汉词典等各类中英文词典类似,基本涵盖了全部常用中英文字词句的读音、释义及用法,是语言学习和写作的有利工具。

 

Copyright © 2004-2024 Ctoth.com All Rights Reserved
京ICP备2021023879号 更新时间:2025/11/30 21:06:59