网站首页  词典首页

请输入您要查询的字词:

 

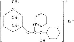
字词 羟奎溴铵
类别 中英文字词句释义及详细解析
释义 羟奎溴铵

C22H32BrNO3=438.40

CAS-29125-56-2

溴化3-羟-1-甲基奎宁环α-苯基环己烷甘醇酸酯。

3-Hydroxy-1-methylquinuclidinium bromideα-phenylcyclohexaneglycolate.

抗胆碱药。

Droclidinium Bromide.

INN,USAN.

随便看

 

文网收录3541549条中英文词条,其功能与新华字典、现代汉语词典、牛津高阶英汉词典等各类中英文词典类似,基本涵盖了全部常用中英文字词句的读音、释义及用法,是语言学习和写作的有利工具。

 

Copyright © 2004-2024 Ctoth.com All Rights Reserved
京ICP备2021023879号 更新时间:2025/10/16 19:26:11