羧苄西林钠[中]
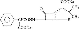
C17H16N2Na2O6S=422.36 CAS-4800-94-6 6-[(羧苯乙酰)氨基]-3,3-二甲基7-氧代-4硫杂-1-氮杂双环[3.2.0]庚烷-2-羧酸二钠盐。 6-[(Carboxyphenylacetyl)amino]-3,3-dimethyl-7-oxo-4-thia-1-azabicyclo[3.2.0]heptane-2-carboxylic acid,disodium salt. N-[(2S,5R,6R)2-羧-3,3-二甲基-7-氧代-4-硫杂-1-氮杂双环[3.2.0]庚-6-基]-2-苯基丙二酰胺酸二钠盐。 N-[(2S,5R,6R)-2-Carboxy-3,3-dimethyl-7-oxo-4-thia-1-azabicyclo[3.2.0]hept-6-yl]-2-phenylmalonamic acid,disodium salt. 抗生素类药。 羧苄青霉素钠,卡比西林钠。 Carbenicillin Sodium,Carbapen,Geopen,Pyopen,BRL-2064,Carbencillin Disodium,CP-15-639-2,NSC-111071. 
|