聚司替雷伪麻黄碱
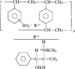
二乙烯苯,与乙烯苯,聚合磺酸化,与[S-(R*,R*)]-α-[1-(甲氨基)乙基]苯甲醇复合物。 Diethenyl-benzene,polymer with ethenylbenzene,sulfonated,complex with[S-(R*,R*)]-α-[1-(methylamino)ethyl]benzenemethanol. 磺化苯乙烯-联乙烯苯共聚物与(+)-伪麻黄碱的复合物。 Sulfonated styrene-divinylbenzene copolymer complex with(+)-pseudoephedrine. 鼻粘膜充血消除药。 Pseudoephedrine Polistirex. USAN. 
|