网站首页  词典首页

请输入您要查询的字词:

 

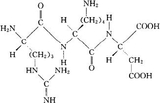
字词 胸腺曲南
类别 中英文字词句释义及详细解析
释义 胸腺曲南

C16H31N7O6=417.47

CAS-85465-82-3

N-(N2-L-精氨酰-L-赖氨酰)-L-门冬氨酸。

N-(N2-L-Arginyl-L-lysyl)-L-aspartic acid.

免疫调节药。

Thymotrinan.

INN,USAN.

随便看

 

文网收录3541549条中英文词条,其功能与新华字典、现代汉语词典、牛津高阶英汉词典等各类中英文词典类似,基本涵盖了全部常用中英文字词句的读音、释义及用法,是语言学习和写作的有利工具。

 

Copyright © 2004-2024 Ctoth.com All Rights Reserved
京ICP备2021023879号 更新时间:2025/10/19 10:38:53